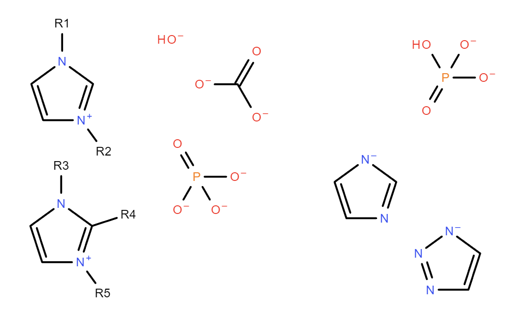
高纯碱性离子液体(~无卤)>...咪唑 | OH、CO3、PO4、HPO4、咪唑、三氮唑、...
- 2022-06-27 23:00:40
- 离子液体(ILs)销售工程师1 原创
- 3703
碱性离子液体,已公开的制备方法存在以下问题:
(1) 如果采用离子交换树脂方法,操作繁琐,定量难以控制
(2) 如果采用普通离子交换方法,副产物难以除尽
(3) 已公开方法只能实现少数碱性离子液体的制备,无法扩展碱性离子种类
我们经过数年研究,开发出自主知识产权碱性离子液体制备技术,改技术优势有:
(1) 高纯度(~无卤),副产物残留少或无副产物残留
(2) 可以扩展出多种碱性离子配对(基于咪唑阳离子,碱性阴离子几乎可以不限)
(3) 工艺易于放大,适合工业化生产
碱性离子液体,不仅仅只有文献上有的,还有更多文献上所没有的....
我们为您提供更加专业的碱性离子液体产品保障体系,满足各类研发与生产对碱性离子液体的各种需求
碱性离子液体举例:
| 简/缩符 | 品名 | 备注 |
| [Im1,2]OH | 氢氧化1-乙基-3-甲基咪唑 | 纯品容易分解,一般做成30%水溶液 |
| [Im1,2]2CO3 |
1-乙基-3-甲基咪唑碳酸盐 |
纯品较易分解,一般做成50%水溶液 |
| [Im1,2]3PO4 |
1-乙基-3-甲基咪唑磷酸盐 |
纯品稳定性不佳,发黄 |
| [Im1,2]2HPO4 |
1-乙基-3-甲基咪唑磷酸氢盐 |
|
| [Im1,2]Im |
1-乙基-3-甲基咪唑咪唑盐 |
|
| [Im1,2]Triz |
1-乙基-3-甲基咪唑三氮唑盐 |
|
| .... | ... |
|
默尼化工科技(上海)有限公司( www.ilschem.cn ),联系电话021-38228895
默尼森(南京)科技有限公司(默尼化工的子公司——承接离子液体相关各类研发任务)
- 离子液体EMI-TFSI用于人工皮肤新突破 2022-06-04
- 结合离子液体Pyr13TFSI固态电解质油墨3D打印出任意形状电池 2022-04-14
- 多功能离子液体凝胶及其在柔性应变传感器中的应用 2022-03-13
- 1-胺乙基-3-甲基咪唑甘氨酸盐,>97%,求购50~100克 2022-04-10
- 高纯碱性离子液体(~无卤)>...咪唑 | OH、CO3、PO4、HPO4、咪唑、三氮唑、... 2022-06-27
- 离子液体开启钙钛矿光伏发电 2022-03-15
- 基于离子液体香水配方设计 2022-03-27
- 全疏水离子液体凝胶在水下传感领域中的应用 2022-03-13
- 离子液体在塑料母粒阻燃应用中的研究进展 2022-03-13
- 离子液体调控人工反铁磁材料中的RKKY效应 2022-03-16
- 基于抗菌离子液体使材料具有抗菌作用 2022-03-18
- [求助] 酯类离子液体的酸值和抗氧化性能测定 2025-09-02
- [求助] 求助 2023-03-13
- [求助] 离子液体的介电常数怎么得到 2022-09-09
- [产品] 电池级([EMIm]Cl/AlCl3-1:1.3)水含量<100ppm 1-乙基-3-甲基咪唑氯铝酸盐 2022-07-20
- [产品] 提供低水含量的电池级离子液体1-乙基-3-甲基咪唑氯盐([EMIm]Cl) 2022-07-19
- [求助] What ionic liquids can be used to depolymerize plastic PET 2022-07-15
- [研究] 咪唑基离子液体增塑聚合物的研究发展 2022-07-10
- [求助] 胺类的离子液体是用真空干燥吗?如何干燥 2022-07-07
- [求助] 如何可以解决离子液体在塑料改性中导致物料结晶的问题 2022-06-29
- [技术] 如何解决离子液体在塑料改性中导致物料结晶的问题 2022-06-29
- [求助] 离子液体会不会结晶? 2022-06-29
- [求助] 胆碱氨基酸离子液体干燥 2022-06-29
- [求助] 胆碱香叶酸盐与空气接触后,容易吸潮分层的现象解释 2022-06-23
- [研究] AmimCH3COO存放时间长了之后有结晶沉淀的原因 2022-06-23
- [研究] 离子液体在聚合物材料中的应用前景 2022-06-11
- [求助] EMIM-BF4离子液体变浑浊是啥情况? 2022-06-05


